Máy phát điện Cummins gần như là phổ biến nhất máy phát điện được sử dụng rộng rãi trong tất cả các loại ngành công nghiệp trạm điện trên toàn thế giới. Mạng lưới dịch vụ toàn cầu của động cơ diesel Cummins có thể cung cấp cho khách hàng dịch vụ đáng tin cậy và bảo đảm. Phạm vi công suất của Cummins genset là từ 24kw lên đến 1800kw .
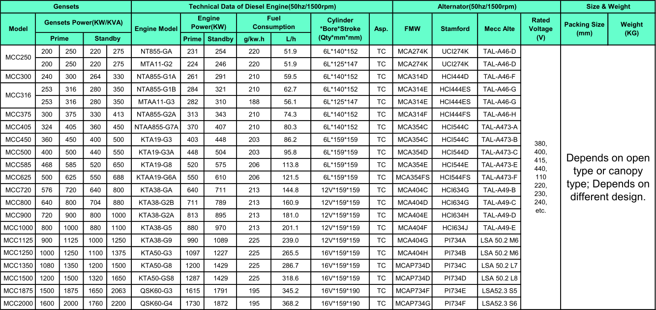
1. Đặc điểm kỹ thuật chính của máy phát điện động cơ Cummins
Máy phát điện Dongfeng Cummins

Máy phát điện Cummins Trùng Khánh

2. Máy phát điện Cummins Se t
3. Tính năng máy phát điện và phạm vi cung cấp
|
Bộ phận tiêu chuẩn
|
Phần tùy chọn
|
|
Động cơ diesel dòng Ricardo, Lijia và Styer hoàn toàn mới
|
Gốc Stamford, Leroy Somer và Mecc Alte máy phát điện
|
|
Máy phát điện không chổi than MCA hoàn toàn mới (Class H, IP23, AVR)
|
Hệ thống điều khiển máy phát chuyển đổi tự động (A.T.S)
|
|
Khung cơ sở thép nặng với thùng nhiên liệu 8 giờ
|
Hệ thống điều khiển máy phát song song
|
|
Thép cách âm 2MM-4MM cho máy phát điện thầm lặng
|
Thùng nhiên liệu tùy chỉnh lớn hơn 8 giờ đang chạy
|
|
Bộ tản nhiệt bảo vệ an toàn với lưới bảo vệ
|
Nhiệm vụ nặng nề 50 ℃ đồng tản nhiệt
|
|
Van chống rung cao su chịu tải nặng
|
Deepsea7320, Smartgen6110 hoặc ComAp AMF25 bộ điều khiển máy phát điện
|
|
Bộ giảm thanh loại công nghiệp nặng với miệng linh hoạt
|
Máy nước nóng / dầu bôi trơn lub cho thời tiết cực lạnh
|
|
Pin không bảo trì hiệu suất cao theo tiêu chuẩn của tiểu bang
|
Các thiết bị điện tử như ABB, Schneider và Siemens
|
|
Bộ điều khiển máy phát điện Deepsea6020, Smartgen420 hoặc ComAp MRS11
|
Cumtomized siêu im lặng tán với bọt biển mật độ cao
|
|
Áp suất dầu thấp, quá nóng, quá tải và bảo vệ quá tốc độ
|
Phần đặc biệt như thép không gỉ phím, bơm cống dầu, lọc bụi v.v.
|
|
Các thiết bị điện tử tiêu chuẩn của nhà nước như cáp, bộ ngắt mạch, rơle, đèn, cầu chì, dừng thiết bị.
|
Phụ tùng động cơ và máy phát điện phụ như bộ lọc, đệm, vòi phun, AVR, chỉnh lưu
|
|
Bộ công cụ với sổ tay vận hành của máy phát điện, động cơ và máy phát điện
|
Hộp dụng cụ công cụ Deluxe với nhiều loại dụng cụ để bảo trì
|
4. Tiêu chuẩn và chứng chỉ

5. lợi thế của máy phát điện diesel của chúng tôi

① Vật liệu cao cấp và phụ tùng
● Từ ốc vít, vòng bi, bọt biển, dây điện, thiết bị chống rung, rơ le, AVR, diode, đồng hồ đo, thông gió, dây đồng, thép tấm, mét, bộ điều khiển, pin, AMF, ATS và vân vân.
② Nhóm nghiên cứu và phát triển có kinh nghiệm và có học vấn cao
● Với đội ngũ nghiên cứu và phát triển chuyên nghiệp cao, không chỉ FMW có thể cung cấp tiêu chuẩn manufactuer chất lượng đáng tin cậy máy phát điện nhưng cũng FMW điện có thể thiết kế các loại khác nhau của máy phát điện như máy phát điện siêu im lặng, container điện trạm, máy phát điện thông minh theo nhu cầu duy nhất của khách hàng.
③ Hiệu suất và tiêu chí đáng tin cậy
Điều chỉnh điện áp:
● Dải cài đặt điện áp tải miễn phí≥ (95-105)% Un
● Tỷ lệ điều chỉnh điện áp trạng thái ổn định≤ ± 1.0 ﹪
● Tr tỷ lệ điều chỉnh điện áp ansient-state≤ + 20 ﹪ / - 15%
● Thời gian khôi phục điện áp≤1.0S
● Tỷ lệ dao động điện áp≤ ± 0,5 ﹪
● Tỷ lệ điện áp trạng thái lạnh / nóng≤2 ﹪
Tần số / Tốc độ Undulation:
● Thay đổi tải từ 0-100%, Tần số giảm tốc độ / tần số trong vòng 5%.
● tải từ 25-100%, bất kỳ tải ổn định tần số / tốc độ nhấp nháy trong 0.25%
Yếu tố tác động viễn thông:
● TIF (MA MG1-22) tốt hơn 50
● THF (BS EN60034) tốt hơn 2%
Tiêu chí:
● ISO8528, GB / T2820
● EN12601: 2001, EN60034-22: 1997, EN60204-1: 2006
● Hệ thống kiểm soát chất lượng ISO9001: 2008
● Kháng cách điện được kiểm tra theo GB5226.1-2002-19.3
● Chịu được điện áp được kiểm tra theo GB7 55-2000-8.1 (với 1500V 60S)
● Tất cả các phụ tùng điện được kiểm tra theo quy định với GB5226.1-2002-19.6
● An ninh cơ khí được kiểm tra theo với GB / T820.8-2002-6.3
● Chống cháy được kiểm tra theo GB / T2820.8-20 02-6,4 / 6,5
● Tất cả các bộ phát điện được kiểm tra nghiêm ngặt bằng 25%, 50%, 75%, 100% và tải 110%.